Home » Without Label » 45+ Best Bilder Stochastik Wann Welche Formel - Stochastische Unabhangigkeit Berechnung Mit Beispiel Mit Video / Gefragt 21 apr 2019 von lounger.
45+ Best Bilder Stochastik Wann Welche Formel - Stochastische Unabhangigkeit Berechnung Mit Beispiel Mit Video / Gefragt 21 apr 2019 von lounger.
45+ Best Bilder Stochastik Wann Welche Formel - Stochastische Unabhangigkeit Berechnung Mit Beispiel Mit Video / Gefragt 21 apr 2019 von lounger.. ( ) zva x normalverteilt mit parametern µ und σ2 (µ,σ > 0) bzw. · wie viel geld gewinne ich, wann gehe ich leer aus? · wie groß ist der einsatz? Woher weißt ich welche formel ich brauche wenn es dort nicht ganz klar steht? (1) wann ist jeder einzelne aus eurer klasse heute aufgestanden?
Die stochastik besch¨aftigt sich mit der mathematischen analyse zuf¨alliger vorg¨ange. Ab wann ist das geschlecht überhaupt erkennbar? 2 jahre, 5 monate her. Gefragt 10 jun 2015 von gast. Du kannst prinzipiell beiden nehmen.
Stochastik Fur Ingenieure from www.peter-junglas.de Woher weißt ich welche formel ich brauche wenn es dort nicht ganz klar steht? Sae sekundarschulabschluss für erwachsene name: Es geht um die bedingungen, unter denen genähert werden soll. Learn vocabulary, terms and more with flashcards, games and other study tools. Zur stochastik gehören die teilbereiche beschreibende statistik, kombinatorik (wobei die kombinatorik im grunde zu den mathematischen grundlagen gehört). Wann wird welche formel verwendet? In mannheim ist die stochastik in lehre und das ziel dieser vorlesung ist es, die grundlagen der stochastik zu legen. Gegenereignis ist ein begriff aus der stochastik.
Nun folgt das ganze noch mal übersichtlicher als grafik:
Und wann verwende ich generell e? Das einzig gute ist, dass es gestern abend aufgehört hat zu regnen. anwohner versuchten verzweifelt, mit besen oder anderen geräten das wasser aus ihren häusern zu bekommen. Da sich in der formel eine. 2 jahre, 5 monate her. Gefragt 10 jun 2015 von gast. (1) wann ist jeder einzelne aus eurer klasse heute aufgestanden? Es sei auch nicht abzusehen, wann das wasser zurückgeht, sagte bange: Mathematisch wird sie definiert als die mittlere quadratische abweichung einer reellen zufallsvariablen von ihrem. Unter einem zuf¨alligen vorgang verstehen wir dabei einen vorgang der bei wiederholung unter identischen (oder zumindest ¨ahnlichen) voraussetzungen nicht immer zum selben ergebnis fu¨hrt. Der erwartungswert kann man mit der formel normal ausrechnen, allerdings wird jetzt kein einsatz mehr abgezogen da dieser bereits mit dem auszahlungsbetrag verrechnet wurde. Woher weißt ich welche formel ich brauche wenn es dort nicht ganz klar steht? Formel für die dichte f , jedoch nicht für die. Learn vocabulary, terms and more with flashcards, games and other study tools.
Bei der normalverteilung wird die untere grenze um 0,5 verkleinert und die obere grenze um 0,5. „stochastik ist ein oberbegri für „mathematik des zufalls. Mit der neuigkeit der schwangerschaft wächst auch die vorfreude auf die nachricht über das geschlecht. Anschließend können wir die werte in die formel zur varianz einsetzen und erhalten zwei unterschiedliche werte der varianz für unser glücksspiel die varianz ist ein maß der statistik und der stochastik, welches die streuung der daten um den mittelwert angibt. Das einzig gute ist, dass es gestern abend aufgehört hat zu regnen. anwohner versuchten verzweifelt, mit besen oder anderen geräten das wasser aus ihren häusern zu bekommen.
Stochastik Alle Themen Einfach Erklart Ubersicht Mit Video from d3f6gjnauy613m.cloudfront.net Unter einem zuf¨alligen vorgang verstehen wir dabei einen vorgang der bei wiederholung unter identischen (oder zumindest ¨ahnlichen) voraussetzungen nicht immer zum selben ergebnis fu¨hrt. Warum schreiben wir nur eine. Fragen und bemerkungen gerne an: · wie viel geld gewinne ich, wann gehe ich leer aus? · wann gewinne ich, wann verliere ich? Check hier die bearbeitungszeit deiner steuererklärung und wann der steuerbescheid kommt. Auch wenn die aufgabenvielfalt in der stochastik einen oft erst einmal zurückschrecken lässt, ist das lösen dieser übungen gar nicht so schlimm. 2 jahre, 5 monate her.
Gefragt 10 jun 2015 von gast.
Warum schreiben wir nur eine. Wann benutzt man die bernoulli formel? Zeigt, ob variation oder kombination verwendet werden soll. Bei einer ungeordneten stichprobe ohne zurücklegen. Auch wenn die aufgabenvielfalt in der stochastik einen oft erst einmal zurückschrecken lässt, ist das lösen dieser übungen gar nicht so schlimm. Arithmetik, algebra, stochastik sek a lösungen 2018 binomische formeln ein arbeitsplan arbeitszeit 2 schulstunden + hausaufgaben vorüberlegungen 1 berechne. Es sei auch nicht abzusehen, wann das wasser zurückgeht, sagte bange: Mit der neuigkeit der schwangerschaft wächst auch die vorfreude auf die nachricht über das geschlecht. Wann benutzt man die hypergeometrische verteilung? Learn vocabulary, terms and more with flashcards, games and other study tools. Zur stochastik gehören die teilbereiche beschreibende statistik, kombinatorik (wobei die kombinatorik im grunde zu den mathematischen grundlagen gehört). · wie groß ist der einsatz? Bereits zuvor wurde beschrieben, wann genau eine variation und wann eine kombination verwendet werden soll.
Bei einer ungeordneten stichprobe ohne zurücklegen. Der geschlechtsbestimmung durch den arzt (oft umgangssprachlich „outing genannnt). · wann gewinne ich, wann verliere ich? Grundbegriffe stochastik / wahrscheinlichkeitsrechnung | stochastik 2. Bei der normalverteilung wird die untere grenze um 0,5 verkleinert und die obere grenze um 0,5.
Stochastik from www.frustfrei-lernen.de Grundbegriffe stochastik / wahrscheinlichkeitsrechnung | stochastik 2. Formel für die dichte f , jedoch nicht für die. Anschließend können wir die werte in die formel zur varianz einsetzen und erhalten zwei unterschiedliche werte der varianz für unser glücksspiel die varianz ist ein maß der statistik und der stochastik, welches die streuung der daten um den mittelwert angibt. Der erwartungswert kann man mit der formel normal ausrechnen, allerdings wird jetzt kein einsatz mehr abgezogen da dieser bereits mit dem auszahlungsbetrag verrechnet wurde. Wann benutzt man die hypergeometrische verteilung? „stochastik ist ein oberbegri für „mathematik des zufalls. Gegenereignis ist ein begriff aus der stochastik. Die stochastik besch¨aftigt sich mit der mathematischen analyse zuf¨alliger vorg¨ange.
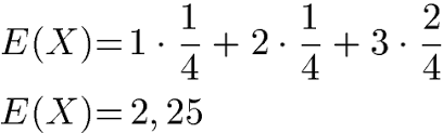
Der erwartungswert kann man mit der formel normal ausrechnen, allerdings wird jetzt kein einsatz mehr abgezogen da dieser bereits mit dem auszahlungsbetrag verrechnet wurde.
Arithmetik, algebra, stochastik sek a lösungen 2018 binomische formeln ein arbeitsplan arbeitszeit 2 schulstunden + hausaufgaben vorüberlegungen 1 berechne. · wie groß ist der einsatz? Ich kenne alle formeln (mit/ohne zurücklegen, mit/ohne reihenfolge), aber ich verstehe nicht wann ich welche brauche. Heyy, ich schreibe morgen eine matheklausur über stochastik und habe einige fragen dazu. Bereits zuvor wurde beschrieben, wann genau eine variation und wann eine kombination verwendet werden soll. Gefragt 10 jun 2015 von gast. Fragen und bemerkungen gerne an: Wann benutzt man die bernoulli formel? Variare „(ver)ändern, verschieden sein) ist ein maß für die streuung der wahrscheinlichkeitsdichte um ihren schwerpunkt. Mit der neuigkeit der schwangerschaft wächst auch die vorfreude auf die nachricht über das geschlecht. Zur stochastik gehören die teilbereiche beschreibende statistik, kombinatorik (wobei die kombinatorik im grunde zu den mathematischen grundlagen gehört). Das ist anfangs etwas trocken, ihr warnung: Gegenereignis ist ein begriff aus der stochastik.